QCD in strong magnetic fields: conserved charges and EoS

QCD thermodynamic properties under extreme conditions, such as high temperatures $T$, finite chemical potential $\mu$, as well as strong magnetic fields $eB$, are central to understanding the strongly interacting matter in the early universe, neutron stars, and heavy-ion collisions.

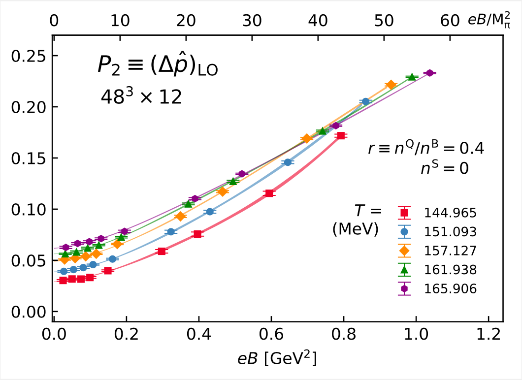
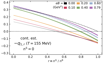
In particular, strong magnetic fields, reaching magnitudes comparable to characteristic interaction scales, can profoundly alter these properties. In this program, we performed high-precision and computationally intensive simulations to understand the thermodynamics of QCD at non-zero baryon chemical potential and strong magnetic fields up to $eB \lesssim 0.8~\mathrm{GeV}^2$.

Relevant publications: PRD 112 (2025) 094508, PRD 111 (2025) 114522, PRL 132 (2024) 201903

Keywords: Lattice QCD, Heavy-ion collisions, QCD magnetometer, QCD equation of state

Stochastic Dynamics for Complex Action Problem

I am working on diagnostics and strategies to detect and restore incorrect convergence in the complex Langevin method. Building on this, I am also exploring Diffusion Models to learn probability distributions from data generated by CLM. This direction connects naturally to improving sampling efficiency more broadly: near criticality, where standard MCMC simulations encounter critical slowing down, and generative ML models offer a promising route to accelerate uncorrelated configuration generation.